التجاوز إلى المحتوى
آخر الإعلانات: اعلان عن عدم جدوى استشارة لبلدية مسعداعذارت من مديرية الاشغال العمومية لولاية الجلفة موجه لمؤسسات : – ضيف محمد – قرادي محمد -بورزيق احمداعلان عن المنح المؤقت رقم 31/33/34/35/36/37/38/ 39/ 2026 لمديرية التجهيزات العمومية لولاية الجلفةاعلان عن المنح المؤقت لطلب العروض رقم 03/ 2026 لبلدية بنهاراعلان عن منح مؤقت لطلب العروض رقم 06 /2024 لجامعة الجلفةاعلان عن طلب عروض رقم 02 /2026 لجامعة الجلفةاعلان عن استشارة رقم 12 /2026 لمديرية وحدة بريد الجزائر لولاية الجلفةاعلان عن استشارة رقم 10 /2026 للمؤسسة العمومية الاستشفائية الام والطفل بالجلفةاعلان عن الغاء استشارة رقم 09 /2026 للمؤسسة العمومية الاستشفائية الام والطفل بالجلفةاعلان عن المنح المؤقت للاستشارة رقم 06 / 2026 لمديرية الحماية المدنية لولاية الجلفةاعلان عن المنح المؤقت رقم 05/04/03 / 2026 لمديرية الحماية المدنية لولاية الجلفةاعلان عن الغاء استشارة رقم 59 /2026 لبلدية عين وسارةاعلان عن استشارات رقم 58/60 /2026 لبلدية عين وسارةاعلان عن التأهيل في المسابقة الوطنية المحدودة في الهندسة المعمارية لمديرية التعمير لولاية الجلفةاعلان عن المنح المؤقت لطلب العروض رقم 06 /2026 لبلدية الجلفةاعلان عن منح مؤقت رقم 29/30/31/34 /2026 لمديرية التجهيزات العمومية لولاية الجلفةاعلان عن طلب عروض رقم 63 /2026 لمديرية التجهيزات العمومية لولاية الجلفةاعلان عن طلب عروض رقم 06/05 /2026 لبلدية دار الشيوخاعلان عن المنح المؤقت لبلدية الشارفاعذار ثاني من مديرية السكن لولاية الجلفة موجه لمؤسسة برادعي محمداعذار ثاني من مديرية التعمير لولاية الجلفة موجه لمؤسسة ذياب سعداعلان عن المنح المؤقت لطلب العروض لمديرية التجهيزات العمومية لولاية الجلفةاعلان عن التأهيل الاولي للمسابقة الوطنية في الهندسة المعمارية لديوان الترقيةوالتسيير العقاري لولاية الجلفةاعلان عن عدم جدوى طلب العروض لمديرية الشباب والرياضة لولاية الجلفةاعلان عن تصحيح المنح المؤقت رقم 01 /2026 للمؤسسة العمومية الاستشفائية بحاسي بحبحاعلان عن المنح المؤقت لبلدية دار الشيوخاعلان عن الغاء استشارات رقم 16/15/14/13 /2026 لمديرية التربية لولاية الجلفةاعلان عن الغاء استشارات رقم 12/11/10/09 /2026 لمديرية التربية لولاية الجلفةاعلان عن الغاء استشارات رقم 08/07/06/05 /2026 لمديرية التربية لولاية الجلفةاعلان عن الغاء استشارات رقم 04/03/02/01 /2026 لمديرية التربية لولاية الجلفةاعلان عن استشارة رقم 11 /2026 لمديرية وحدة بريد الجزائر لولاية الجلفةاعلان عن المنح المؤقت للاستشارة رقم 12 /2026 لديوان الترقيةوالتسيير العقاري لولاية الجلفةاعذار رقم 02 من طرف مديرية السكن لولاية الجلفة موجه لمؤسسة برادعي محمداعذار اول من طرف مديرية الثقافة لولاية الجلفة موجه لتجمع الازدهاراعلان عن المنح المؤقت لطلب العروض رقم 06/ 2026 لبلدية الجلفةاعلان عن الغاء المنح المؤقت لطلب العروض رقم 05/2026 لبلدية سد رحالاعلان عن عدم جدوى طلب العروض لمديرية الشباب والرياضة لولايةالجلفةاعلان عن المنح المؤقت لمديرية الشباب والرياضة لولايةالجلفةاعلان عن المنح المؤقت لطلب العروض رقم 38/ 2026 لمديرية التجهيزات العمومية لولايةالجلفةاعلان عن الغاء المنح المؤقت لطلب العروض رقم 19/2026 لمديرية التعمير والهندسة المعمارية والبناء لولايةالجلفةاعلان عن طلب عروض رقم 05/ 2026 لبلدية الجلفةاعلان عن طلب عروض رقم 03/ 2026 لمديرية الشباب والرياضة لولاية الجلفةاعلان عن طلب عروض رقم 13/12/ 2026 لمديرية التعمير والهندسة المعمارية والبناء لولاية الجلفةاعلان عن استشارة رقم 10 /2026 لمديرية وحدة بريد الجزائر لولاية الجلفةاعلان عن عدم جدوى الاستشارة رقم 11 /2026 لديوان الترقيةوالتسيير العقاري لولاية الجلفةاعلان عن إستشارات رقم 65/55/54 /2026 لبلدية عين وسارةاعذار رقم 01 من مصالح بلدية عين وسارة موجه لمؤسسة برادعي محمداعلان عن المنح المؤقت لطلب العروض رقم 17/2026 للمؤسسة العمومية الاستشفائية عين وسارةاعلان عن تصحيح المنح المؤقت لطلب العروض رقم 02/2026 لمديرية السكن لولاية الجلفةاعلان عن المنح المؤقت لطلبات العروض رقم 03/01 /2026 لمديرية السكن لولاية الجلفةاعلان عن الغاء المنح المؤقت لطلب العروض رقم 19/2026 لمديرية التعمير والهندسة المعمارية والبناء لولاية الجلفةاعلان عن طلب عروض رقم 08 /2026 لبلدية سد رحالاعلان عن طلب عروض رقم 13 /2026 لمديرية التعمير والهندسة المعمارية والبناء لولاية الجلفةاعلان عن المنح المؤقت للاستشارة رقم 09 /2026 لبلدية عين افقهاعلان عن المنح المؤقت لبلدية مسعدمنح مؤقت لبلدية عين معبدإعذار رقم 02 من مديرية السكن لولاية الجلفة موجه الى مؤسسة حميدي لخضراعلان عن المنح المؤقت لطلب العروض رقم 01 /2026 للمؤسسة العمومية الاستشفائية بمسعداعلان عن المنح المؤقت لطلب العروض رقم 03 /2026 لمديرية التعمير والهندسة المعمارية لولاية الجلفةاعلان عن الغاء استشارة رقم 10 /2026 لديوان الترقية والتسيير العقاري بالجلفةاعلان عن طلب عروض رقم 09 /2026 لبلدية الجلفةاعلان عن طلب عروض رقم 08 /2026 لبلدية سد رحالاعلان عن طلب عروض رقم 13 /2026 لمديرية التعمير والهندسة المعمارية والبناء لولاية الجلفةاعلان عن استشارة رقم 53 /2026 لبلدية عين وسارةاعلان عن المنح المؤقت لطلب العروض رقم 35 /2026 لبلدية عين وسارةاعلان عن المنح المؤقت لطلب العروض رقم 02 /2026 لبلدية الخميساعلان عن المنح المؤقت لطلب العروض رقم 04/03/2026 لبلدية الزعفراناعلان عن المنح المؤقت لطلب العروض رقم 05 /2026 لبلدية دلدولاعلان عن المنح المؤقت لطلب العروض رقم 03 /2026 لديوان الترقية والتسيير العقاري لولاية الجلفةاعلان عن طلب العروض رقم 002 /2026 لمديرية الحماية المدنية لولاية الجلفةاعلان عن طلب العروض رقم 01 /2026 للوكالة الولائية للتسيير والتنظيم العقاري بالجلفةاعلان عن استشارة رقم 52 /2026 لبلدية عين وسارةاعلان عن المنح المؤقت للاستشارة رقم 13/12 /2026 لبلدية حد الصحارياعلان عن استشارة رقم 14 /2026 لبلدية حد الصحارياعلان عن استشارة رقم 22 /2026 لمديرية السكن لولاية الجلفةاعلان عن المنح المؤقت لطلب العروض رقم 01/ 2026 لبلدية الخميساعلان عن المنح المؤقت لطلب العروض رقم 01/ 2026 لجامعة الجلفةاعلان عن المنح المؤقت لطلب العروض رقم 20/ 2026 لبلدية عين وسارةاعلان عن المنح المؤقت لطلبات العروض رقم 07/06/2026 لمديرية التعمير والهندسة المعمارية والبناء لولاية الجلفةاعلان عن المنح المؤقت لطلب العروض رقم 01/22 /2026 لمديرية الادارة المحلية لولاية الجلفةاعلان عن المنح المؤقت لطلب العروض رقم 01 /2026 لبلدية زكاراعلان عن المنح المؤقت لطلب العروض رقم 03 /2026 لبلدية عين أفقهاعلان عن المنح المؤقت لطلب العروض رقم 01 /2026 للمؤسسة العمومية الاستشفائية بحاسي بحبحاعلان عن طلب عروض رقم 02 /2026 لبلدية عين الابلاعلان عن طلب عروض رقم 09 /2026 لبلدية مسعداعلان عن طلب عروض رقم 03 /2026 لمديرية البيئة لولاية الجلفةاعلان عن طلبات عروض رقم 35/34 /2026 لمديرية السكن لولاية الجلفةاعلان عن طلبات عروض رقم 62/61 /2026 لمديرية التجهيزات العمومية لولاية الجلفةاعلان عن المنح المؤقت لطلب العروض رقم 01 /2026 لبلدية الخميساعلان عن طلبات عروض رقم 62/60 /2026 لمديرية التجهيزات العمومية لولاية الجلفةاعلان عن طلبات عروض رقم 26/25/24 /2026 لمديرية الاشعال العمومية لولاية الجلفةاعلان عن طلبات عروض رقم 34/33/32 /2026 لمديرية السكن لولاية الجلفةاعلان عن استشارة رقم 03 /2026 لفائدة الوكالة الولائية للتسيير والتنظيم العقاريين الحضريين لولاية الجلفةاعلان عن استشارات رقم 14/13 /2026 لفائدة ديوان الترقيةوالتسيير العقاري لولاية الجلفة + المنح المؤقت لبلدية البيريناعلان عن استشارات رقم 11/12 /2026 لبلدية بنهار + استشارة رقم 01 /2026 لفائدة مدرسةمهن الاشغال العمومية EMTPاعلان عن استشارة رقم 09 /2026 للمؤسسة العمومية الاستشفائية المتخصصة الام والطفل بالجلفةاعلان عن استشارات رقم 21/32 /2026 لمديرية التربية لولاية الجلفةاعلان عن المنح المؤقت للاستشارة رقم 21 /2026 لمديرية السكن لولاية الجلفةاعلان عن استشارة رقم 10 /2026 لبلدية بنهاراعذار رقم 02 من بلدية الزعفران موجه لمؤسسة قناني محمد

  • الصفحة الرئيسية
  • إستشارات
  • طلبات العروض
  • إشعارات بالمنح
  • إشعارات عدم الجدوى
  • اعذارات
آخر الإعلانات: اعلان عن عدم جدوى استشارة لبلدية مسعداعذارت من مديرية الاشغال العمومية لولاية الجلفة موجه لمؤسسات : – ضيف محمد – قرادي محمد -بورزيق احمداعلان عن المنح المؤقت رقم 31/33/34/35/36/37/38/ 39/ 2026 لمديرية التجهيزات العمومية لولاية الجلفةاعلان عن المنح المؤقت لطلب العروض رقم 03/ 2026 لبلدية بنهاراعلان عن منح مؤقت لطلب العروض رقم 06 /2024 لجامعة الجلفةاعلان عن طلب عروض رقم 02 /2026 لجامعة الجلفةاعلان عن استشارة رقم 12 /2026 لمديرية وحدة بريد الجزائر لولاية الجلفةاعلان عن استشارة رقم 10 /2026 للمؤسسة العمومية الاستشفائية الام والطفل بالجلفةاعلان عن الغاء استشارة رقم 09 /2026 للمؤسسة العمومية الاستشفائية الام والطفل بالجلفةاعلان عن المنح المؤقت للاستشارة رقم 06 / 2026 لمديرية الحماية المدنية لولاية الجلفةاعلان عن المنح المؤقت رقم 05/04/03 / 2026 لمديرية الحماية المدنية لولاية الجلفةاعلان عن الغاء استشارة رقم 59 /2026 لبلدية عين وسارةاعلان عن استشارات رقم 58/60 /2026 لبلدية عين وسارةاعلان عن التأهيل في المسابقة الوطنية المحدودة في الهندسة المعمارية لمديرية التعمير لولاية الجلفةاعلان عن المنح المؤقت لطلب العروض رقم 06 /2026 لبلدية الجلفةاعلان عن منح مؤقت رقم 29/30/31/34 /2026 لمديرية التجهيزات العمومية لولاية الجلفةاعلان عن طلب عروض رقم 63 /2026 لمديرية التجهيزات العمومية لولاية الجلفةاعلان عن طلب عروض رقم 06/05 /2026 لبلدية دار الشيوخاعلان عن المنح المؤقت لبلدية الشارفاعذار ثاني من مديرية السكن لولاية الجلفة موجه لمؤسسة برادعي محمداعذار ثاني من مديرية التعمير لولاية الجلفة موجه لمؤسسة ذياب سعداعلان عن المنح المؤقت لطلب العروض لمديرية التجهيزات العمومية لولاية الجلفةاعلان عن التأهيل الاولي للمسابقة الوطنية في الهندسة المعمارية لديوان الترقيةوالتسيير العقاري لولاية الجلفةاعلان عن عدم جدوى طلب العروض لمديرية الشباب والرياضة لولاية الجلفةاعلان عن تصحيح المنح المؤقت رقم 01 /2026 للمؤسسة العمومية الاستشفائية بحاسي بحبحاعلان عن المنح المؤقت لبلدية دار الشيوخاعلان عن الغاء استشارات رقم 16/15/14/13 /2026 لمديرية التربية لولاية الجلفةاعلان عن الغاء استشارات رقم 12/11/10/09 /2026 لمديرية التربية لولاية الجلفةاعلان عن الغاء استشارات رقم 08/07/06/05 /2026 لمديرية التربية لولاية الجلفةاعلان عن الغاء استشارات رقم 04/03/02/01 /2026 لمديرية التربية لولاية الجلفةاعلان عن استشارة رقم 11 /2026 لمديرية وحدة بريد الجزائر لولاية الجلفةاعلان عن المنح المؤقت للاستشارة رقم 12 /2026 لديوان الترقيةوالتسيير العقاري لولاية الجلفةاعذار رقم 02 من طرف مديرية السكن لولاية الجلفة موجه لمؤسسة برادعي محمداعذار اول من طرف مديرية الثقافة لولاية الجلفة موجه لتجمع الازدهاراعلان عن المنح المؤقت لطلب العروض رقم 06/ 2026 لبلدية الجلفةاعلان عن الغاء المنح المؤقت لطلب العروض رقم 05/2026 لبلدية سد رحالاعلان عن عدم جدوى طلب العروض لمديرية الشباب والرياضة لولايةالجلفةاعلان عن المنح المؤقت لمديرية الشباب والرياضة لولايةالجلفةاعلان عن المنح المؤقت لطلب العروض رقم 38/ 2026 لمديرية التجهيزات العمومية لولايةالجلفةاعلان عن الغاء المنح المؤقت لطلب العروض رقم 19/2026 لمديرية التعمير والهندسة المعمارية والبناء لولايةالجلفةاعلان عن طلب عروض رقم 05/ 2026 لبلدية الجلفةاعلان عن طلب عروض رقم 03/ 2026 لمديرية الشباب والرياضة لولاية الجلفةاعلان عن طلب عروض رقم 13/12/ 2026 لمديرية التعمير والهندسة المعمارية والبناء لولاية الجلفةاعلان عن استشارة رقم 10 /2026 لمديرية وحدة بريد الجزائر لولاية الجلفةاعلان عن عدم جدوى الاستشارة رقم 11 /2026 لديوان الترقيةوالتسيير العقاري لولاية الجلفةاعلان عن إستشارات رقم 65/55/54 /2026 لبلدية عين وسارةاعذار رقم 01 من مصالح بلدية عين وسارة موجه لمؤسسة برادعي محمداعلان عن المنح المؤقت لطلب العروض رقم 17/2026 للمؤسسة العمومية الاستشفائية عين وسارةاعلان عن تصحيح المنح المؤقت لطلب العروض رقم 02/2026 لمديرية السكن لولاية الجلفةاعلان عن المنح المؤقت لطلبات العروض رقم 03/01 /2026 لمديرية السكن لولاية الجلفةاعلان عن الغاء المنح المؤقت لطلب العروض رقم 19/2026 لمديرية التعمير والهندسة المعمارية والبناء لولاية الجلفةاعلان عن طلب عروض رقم 08 /2026 لبلدية سد رحالاعلان عن طلب عروض رقم 13 /2026 لمديرية التعمير والهندسة المعمارية والبناء لولاية الجلفةاعلان عن المنح المؤقت للاستشارة رقم 09 /2026 لبلدية عين افقهاعلان عن المنح المؤقت لبلدية مسعدمنح مؤقت لبلدية عين معبدإعذار رقم 02 من مديرية السكن لولاية الجلفة موجه الى مؤسسة حميدي لخضراعلان عن المنح المؤقت لطلب العروض رقم 01 /2026 للمؤسسة العمومية الاستشفائية بمسعداعلان عن المنح المؤقت لطلب العروض رقم 03 /2026 لمديرية التعمير والهندسة المعمارية لولاية الجلفةاعلان عن الغاء استشارة رقم 10 /2026 لديوان الترقية والتسيير العقاري بالجلفةاعلان عن طلب عروض رقم 09 /2026 لبلدية الجلفةاعلان عن طلب عروض رقم 08 /2026 لبلدية سد رحالاعلان عن طلب عروض رقم 13 /2026 لمديرية التعمير والهندسة المعمارية والبناء لولاية الجلفةاعلان عن استشارة رقم 53 /2026 لبلدية عين وسارةاعلان عن المنح المؤقت لطلب العروض رقم 35 /2026 لبلدية عين وسارةاعلان عن المنح المؤقت لطلب العروض رقم 02 /2026 لبلدية الخميساعلان عن المنح المؤقت لطلب العروض رقم 04/03/2026 لبلدية الزعفراناعلان عن المنح المؤقت لطلب العروض رقم 05 /2026 لبلدية دلدولاعلان عن المنح المؤقت لطلب العروض رقم 03 /2026 لديوان الترقية والتسيير العقاري لولاية الجلفةاعلان عن طلب العروض رقم 002 /2026 لمديرية الحماية المدنية لولاية الجلفةاعلان عن طلب العروض رقم 01 /2026 للوكالة الولائية للتسيير والتنظيم العقاري بالجلفةاعلان عن استشارة رقم 52 /2026 لبلدية عين وسارةاعلان عن المنح المؤقت للاستشارة رقم 13/12 /2026 لبلدية حد الصحارياعلان عن استشارة رقم 14 /2026 لبلدية حد الصحارياعلان عن استشارة رقم 22 /2026 لمديرية السكن لولاية الجلفةاعلان عن المنح المؤقت لطلب العروض رقم 01/ 2026 لبلدية الخميساعلان عن المنح المؤقت لطلب العروض رقم 01/ 2026 لجامعة الجلفةاعلان عن المنح المؤقت لطلب العروض رقم 20/ 2026 لبلدية عين وسارةاعلان عن المنح المؤقت لطلبات العروض رقم 07/06/2026 لمديرية التعمير والهندسة المعمارية والبناء لولاية الجلفةاعلان عن المنح المؤقت لطلب العروض رقم 01/22 /2026 لمديرية الادارة المحلية لولاية الجلفةاعلان عن المنح المؤقت لطلب العروض رقم 01 /2026 لبلدية زكاراعلان عن المنح المؤقت لطلب العروض رقم 03 /2026 لبلدية عين أفقهاعلان عن المنح المؤقت لطلب العروض رقم 01 /2026 للمؤسسة العمومية الاستشفائية بحاسي بحبحاعلان عن طلب عروض رقم 02 /2026 لبلدية عين الابلاعلان عن طلب عروض رقم 09 /2026 لبلدية مسعداعلان عن طلب عروض رقم 03 /2026 لمديرية البيئة لولاية الجلفةاعلان عن طلبات عروض رقم 35/34 /2026 لمديرية السكن لولاية الجلفةاعلان عن طلبات عروض رقم 62/61 /2026 لمديرية التجهيزات العمومية لولاية الجلفةاعلان عن المنح المؤقت لطلب العروض رقم 01 /2026 لبلدية الخميساعلان عن طلبات عروض رقم 62/60 /2026 لمديرية التجهيزات العمومية لولاية الجلفةاعلان عن طلبات عروض رقم 26/25/24 /2026 لمديرية الاشعال العمومية لولاية الجلفةاعلان عن طلبات عروض رقم 34/33/32 /2026 لمديرية السكن لولاية الجلفةاعلان عن استشارة رقم 03 /2026 لفائدة الوكالة الولائية للتسيير والتنظيم العقاريين الحضريين لولاية الجلفةاعلان عن استشارات رقم 14/13 /2026 لفائدة ديوان الترقيةوالتسيير العقاري لولاية الجلفة + المنح المؤقت لبلدية البيريناعلان عن استشارات رقم 11/12 /2026 لبلدية بنهار + استشارة رقم 01 /2026 لفائدة مدرسةمهن الاشغال العمومية EMTPاعلان عن استشارة رقم 09 /2026 للمؤسسة العمومية الاستشفائية المتخصصة الام والطفل بالجلفةاعلان عن استشارات رقم 21/32 /2026 لمديرية التربية لولاية الجلفةاعلان عن المنح المؤقت للاستشارة رقم 21 /2026 لمديرية السكن لولاية الجلفةاعلان عن استشارة رقم 10 /2026 لبلدية بنهاراعذار رقم 02 من بلدية الزعفران موجه لمؤسسة قناني محمد
  • الصفحة الرئيسية
  • إستشارات
  • طلبات العروض
  • إشعارات بالمنح
  • إشعارات عدم الجدوى
  • اعذارات

  1. الرئيسية
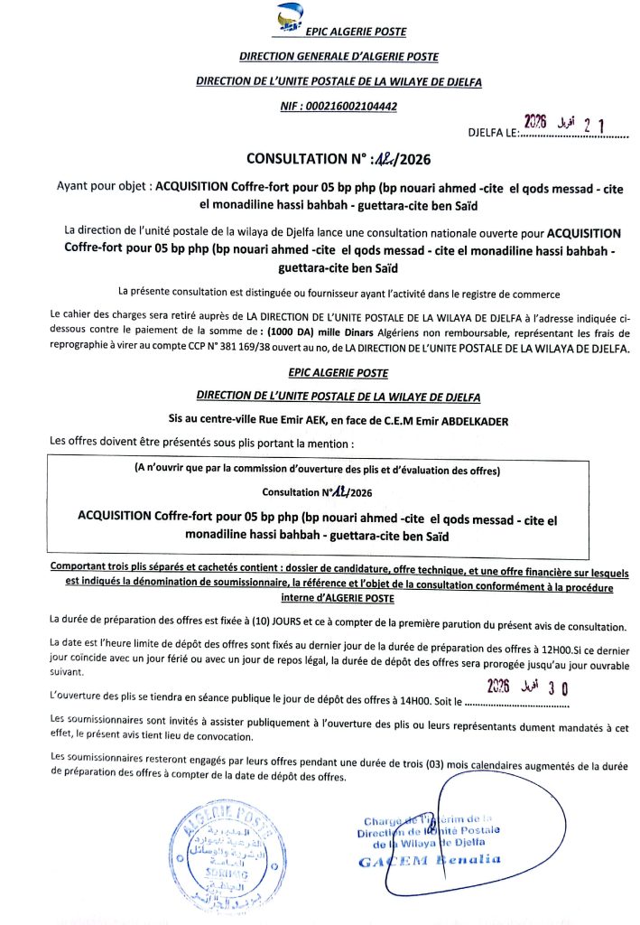
  2. اعلان عن استشارة رقم 12 /2026 لمديرية وحدة بريد الجزائر لولاية الجلفة

اعلان عن استشارة رقم 12 /2026 لمديرية وحدة بريد الجزائر لولاية الجلفة

  • إستشارات
  • أبريل 21, 2026
  • اترك تعليقاً إلغاء الرد

    لن يتم نشر عنوان بريدك الإلكتروني. الحقول الإلزامية مشار إليها بـ *

    أحدث الإعلانات

    • اعلان عن عدم جدوى استشارة لبلدية مسعد
    • اعذارت من مديرية الاشغال العمومية لولاية الجلفة موجه لمؤسسات : – ضيف محمد – قرادي محمد -بورزيق احمد
    • اعلان عن المنح المؤقت رقم 31/33/34/35/36/37/38/ 39/ 2026 لمديرية التجهيزات العمومية لولاية الجلفة
    • اعلان عن المنح المؤقت لطلب العروض رقم 03/ 2026 لبلدية بنهار
    • اعلان عن منح مؤقت لطلب العروض رقم 06 /2024 لجامعة الجلفة

    أحدث التعليقات

    1. سليم على إعلان عن توظيف بالمستشفى المختلط المجاهد هتهات بوبكر بالجلفة
    2. جبران تريكس على إعلان عن طلب عروض رقم 09/2025 لاقتناء شاحنات واستشارات رقم 59/60/61 +منح مؤقت لمديرية الادارة المحلية لولاية الجلفة
    3. جبران تريكس على إعلان عن طلب عروض رقم 09/2025 لاقتناء شاحنات واستشارات رقم 59/60/61 +منح مؤقت لمديرية الادارة المحلية لولاية الجلفة
    4. الاخذاري بن صالح على إعلان عن طلب عروض مفتوح لإنجاز مركز نفسي للأطفال المعاقين ذهنيا بالادريسية لمديرية النشاط الاجتماعي لولاية الجلفة
    5. ريان على إعلان عن طلب عروض رقم 01/2025 خاص ببلدية بنهار
    إشعارات عدم الجدوى
    اعلان عن عدم جدوى استشارة لبلدية مسعد
    • أبريل 21, 2026
    اعذارات
    اعذارت من مديرية الاشغال العمومية لولاية الجلفة موجه لمؤسسات : – ضيف محمد – قرادي محمد -بورزيق احمد
    • أبريل 21, 2026
    إشعارات بالمنح
    اعلان عن المنح المؤقت رقم 31/33/34/35/36/37/38/ 39/ 2026 لمديرية التجهيزات العمومية لولاية الجلفة
    • أبريل 21, 2026
    إشعارات بالمنح
    اعلان عن المنح المؤقت لطلب العروض رقم 03/ 2026 لبلدية بنهار
    • أبريل 21, 2026
    إشعارات بالمنح
    اعلان عن منح مؤقت لطلب العروض رقم 06 /2024 لجامعة الجلفة
    • أبريل 21, 2026
    طلبات العروض
    اعلان عن طلب عروض رقم 02 /2026 لجامعة الجلفة
    • أبريل 21, 2026
    جميع الحقوق محفوظة © 2026 wilaya-djelfa.dz